Ответы
Ответ дал:
0
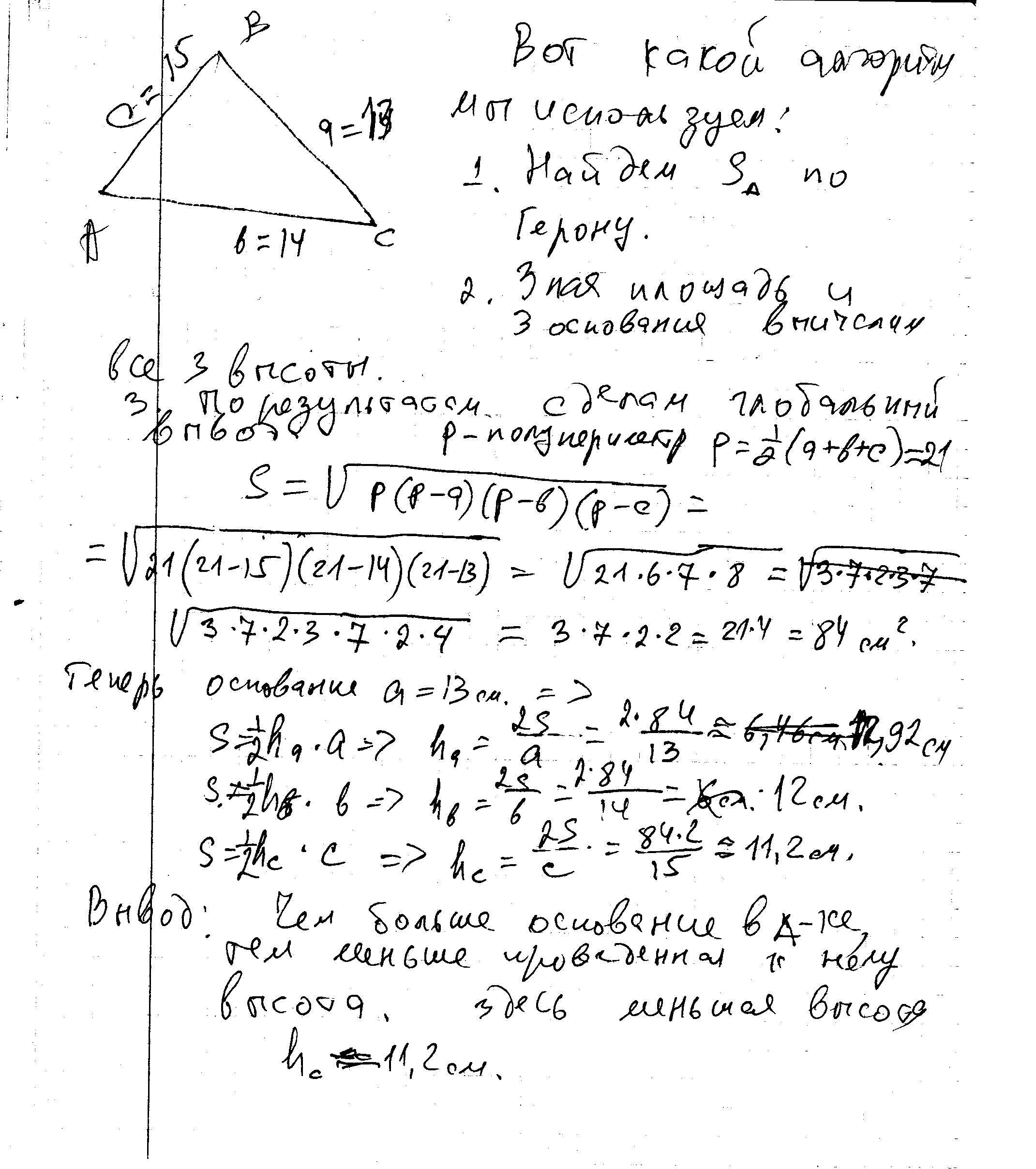
решение в скане............Арифметику, все же, проверьте. Легко ошибаюсь.
Приложения:

Ответ дал:
0
не немного, а много. учат не геометрии, а чистописанию, когда за урок разбирают одну задачу, а можно минимум 5-6
Ответ дал:
0
Абсолютно с Вами согласен.
Ответ дал:
0
А зачем находить все 3 высоты?
Ответ дал:
0
Что бы на конкретике видел результат. К большему основанию - меньшая высота.Для Вас бы я этого не делал. Или Вы думаете, что понималка у всех одинаковая?
Ответ дал:
0
таки да.
Вас заинтересует
2 года назад
2 года назад
7 лет назад
7 лет назад
9 лет назад
9 лет назад
10 лет назад