Ответы
Ответ дал:
0
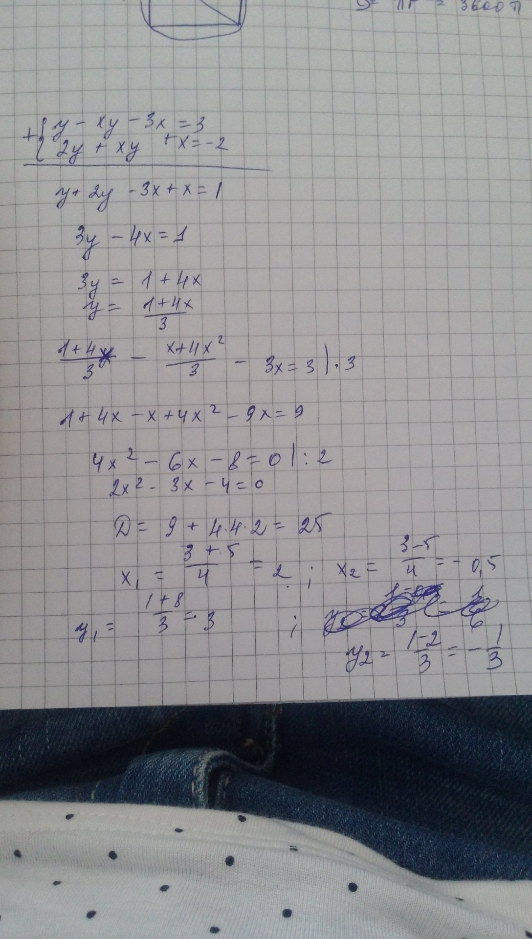
вроде как-то так вышло
Приложения:

Ответ дал:
0
Из второго уравнения:
2y+xy+x=-2
2y+2+xy+x=2(y+1)+x(y+1)=(x+2)(y+1)=0
Отсюда получим совокупность уравнений:
x+2=0 => x=-2
y+1=0 => y=-1
Подставим каждое из этих значений в первое уравнение:
1) x=-2
y-(-2)y-3*(-2)=3
3y=-3
y=-1
2) y=-1
-1-x*(-1)-3x=3
-2x=4
x=-2.
Ответ: (-2;-1).
2y+xy+x=-2
2y+2+xy+x=2(y+1)+x(y+1)=(x+2)(y+1)=0
Отсюда получим совокупность уравнений:
x+2=0 => x=-2
y+1=0 => y=-1
Подставим каждое из этих значений в первое уравнение:
1) x=-2
y-(-2)y-3*(-2)=3
3y=-3
y=-1
2) y=-1
-1-x*(-1)-3x=3
-2x=4
x=-2.
Ответ: (-2;-1).
Приложения:

Вас заинтересует
2 года назад
2 года назад
7 лет назад
9 лет назад
10 лет назад