• Предмет: Физика
  • Автор: 561492
  • Вопрос задан 10 лет назад

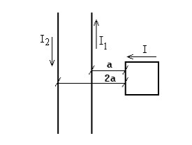
В плоскости расположены два бесконечных прямых проводника с токами I1=20А и I2=40А квадратная рамка с током I=20А.
1)Определить силу F, действующую на рамку. Сторона рамки равна a.
2)Определить магнитный поток, проходящий через квадратную рамку.
Сторона которой а. R=20см

Приложения:

Ответы

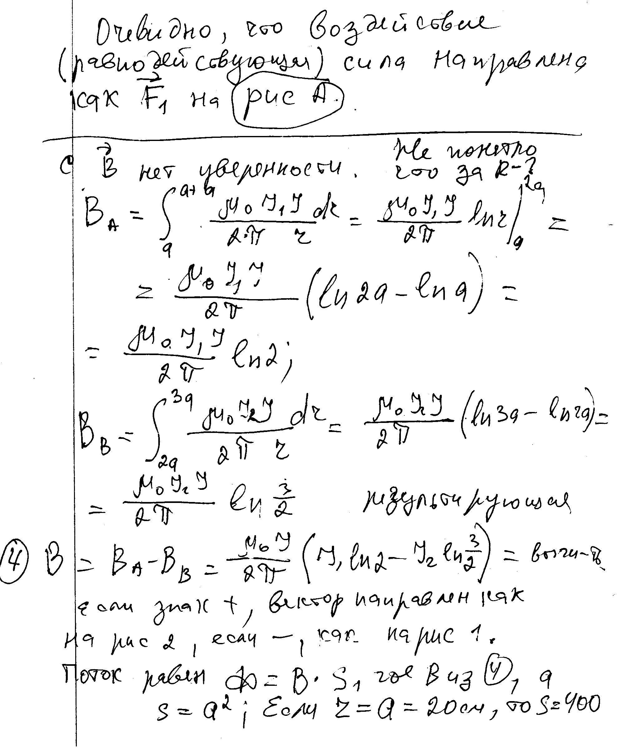
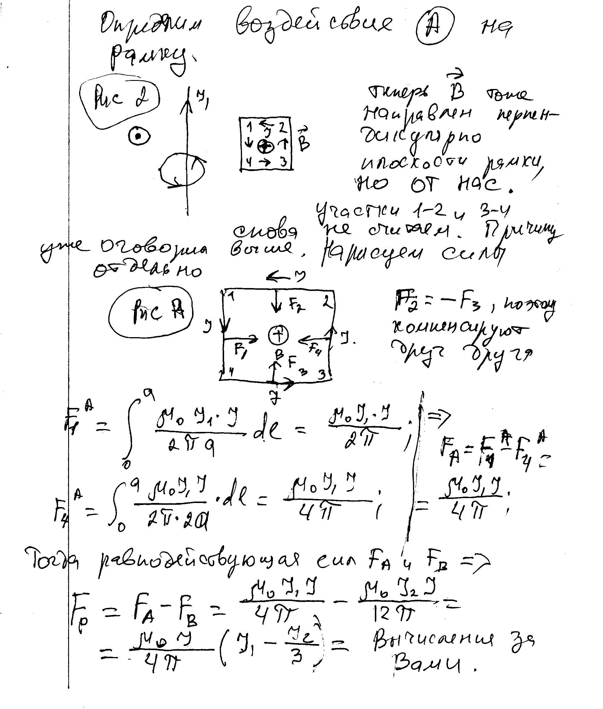
Ответ дал: ужнеужели
0
Кто поправит - буду благодарен. У меня нет уверенности в определении потока, так как не слишком внятно условие. Подстановка значений и вычисления - за Вами. Уж извините.
Приложения:
Ответ дал: ужнеужели
0
Может проверишь, Евгений?
Ответ дал: 561492
0
Спасибо огромное! Буду ждать 1 сентября и узнаю что это за R)
Ответ дал: ужнеужели
0
Не за что. Удачи Вам.
Вас заинтересует