Ответы
Ответ дал:
0
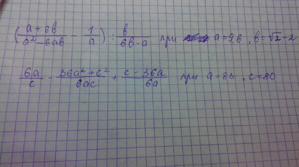
тогда лови решение:
36а2 - 3ва2 -с2 +с2 - 36 ас / 6 ас = - 6 (сокращается и потом остается дробное выражение - 36 ас 6ас)
36а2 - 3ва2 -с2 +с2 - 36 ас / 6 ас = - 6 (сокращается и потом остается дробное выражение - 36 ас 6ас)
Ответ дал:
0
что касается первого задания - думаю, что у меня тоже верное решение. Там тоже все просто: найти общий знаменатель - сократить, потом вынести за скобки общие множители и подставить значения переменных.
Ответ дал:
0
да, правильно, спасибо тебе!!!
Вас заинтересует
3 года назад
3 года назад
8 лет назад
10 лет назад
10 лет назад
10 лет назад
10 лет назад