Ответы
Ответ дал:
0
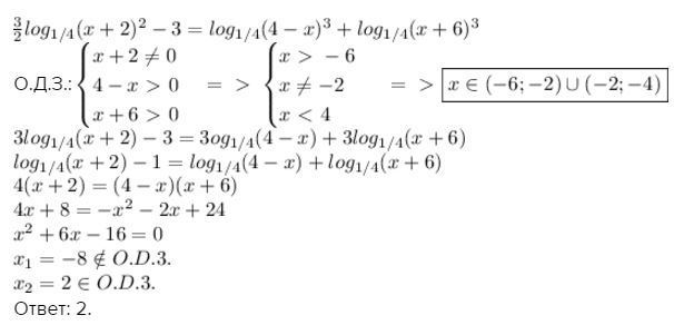
О.Д.З.:
Ответ: 2.
Приложения:

Ответ дал:
0
у меня в ответе помимо х=2 еще есть 1 минус корень из 33
Вас заинтересует
2 года назад
7 лет назад
9 лет назад
9 лет назад
10 лет назад