• Предмет: Алгебра
  • Автор: larisaushakova1
  • Вопрос задан 10 лет назад

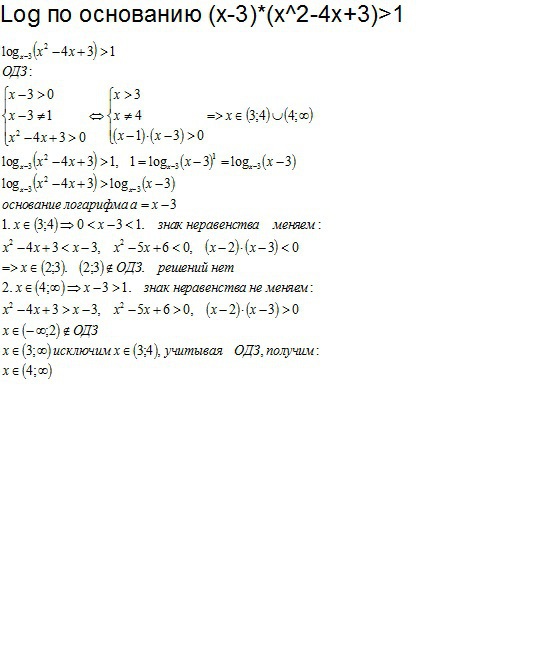
log по основанию (x-3)*(x^2-4x+3)>1 помогите

Ответы

Ответ дал: kirichekov
0
решение и графическая иллюстрация во вложении-----------------
Приложения:
Ответ дал: larisaushakova1
0
cспасибо
Вас заинтересует