• Предмет: Математика
  • Автор: Nedostudent
  • Вопрос задан 10 лет назад

Помогите решить определенный интегралл с заменой переменной.

Приложения:

Ответы

Ответ дал: artalex74
0
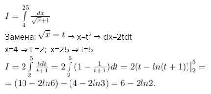
I= intlimits^{25}_4 { frac{dx}{ sqrt{x} +1} }
Замена:  sqrt{x} =t ⇒ x=t² ⇒ dx=2tdt
x=4 ⇒ t =2;  x=25 ⇒ t=5
I=2 intlimits^{5}_2 { frac{tdt}{ t +1} } =2intlimits^{5}_2 { (1-frac{1}{ t +1} } )dt= 2(t-ln(t+1)) big|^5_2=\ = (10-2ln6)-(4-2ln3)=6-2ln2.
Приложения:
Вас заинтересует