Ответы
Ответ дал:
0
Ответ: 49
Решение смотри ниже
Решение смотри ниже
Приложения:

Ответ дал:
0
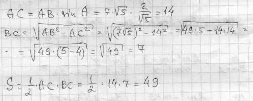
S=1/2 *AC*BC
BC=ABsinA
BC=7V5 *2/V5
BC=7*2=14
AC=VAB^2-BC^2
AC=V49*5-14^2
AC=V49
AC=7
S=1/2 *7*14=49
S=49
V-корень квадратный..
BC=ABsinA
BC=7V5 *2/V5
BC=7*2=14
AC=VAB^2-BC^2
AC=V49*5-14^2
AC=V49
AC=7
S=1/2 *7*14=49
S=49
V-корень квадратный..
Приложения:

Вас заинтересует
2 года назад
2 года назад
7 лет назад
7 лет назад
9 лет назад
9 лет назад
10 лет назад