1) решить систему неравенств

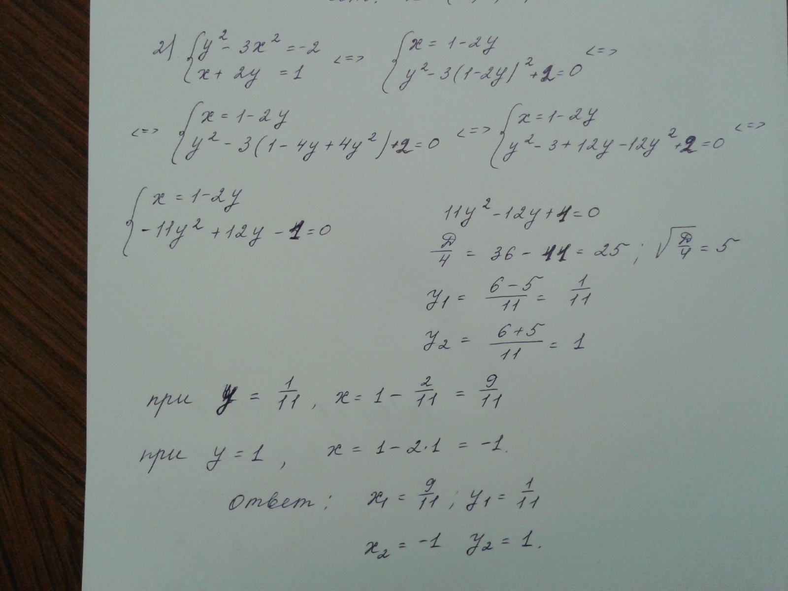
2) решить систему уравнений

3) при каких значениях "х" имеет смысл выражение:
y=
Приложения:
Ответы
Ответ дал:
0
Вот так. Если что не понятно, спрашивайте
Приложения:
Ответ дал:
0
делить надо на 2*11=22 в вашем случае
Ответ дал:
0
и в третьем задании нельзя квадратные скобки ставить
Ответ дал:
0
знаменатель тогда будет равен 0
Ответ дал:
0
Да, согласен, с недосыпа попутал немного
Ответ дал:
0
сейчас пришлю на исправление :)
Ответ дал:
0
******************************************
Приложения:
Вас заинтересует
3 года назад
8 лет назад
8 лет назад
10 лет назад
10 лет назад
10 лет назад
10 лет назад