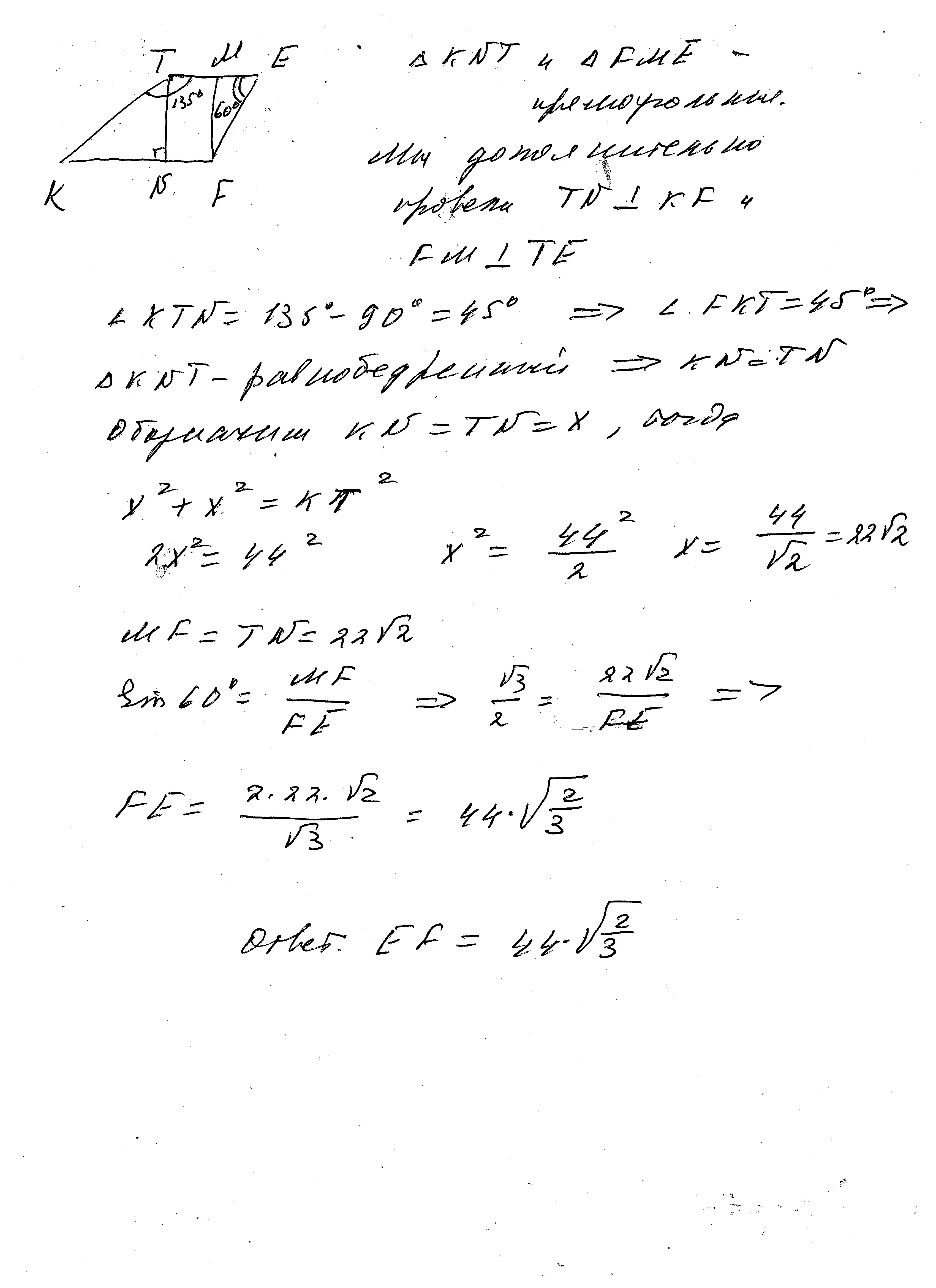
Найдите боковую сторону EF трапеции EFKT, если TK = 44, а углы ETK и FET равны соответственно 135 гр. и 60 гр.
Помогите, пожалуйста
Ответы
Ответ дал:
0
решение - в приложении
Приложения:

Вас заинтересует
2 года назад
7 лет назад
7 лет назад
9 лет назад
9 лет назад
10 лет назад