Ответы
Ответ дал:
0
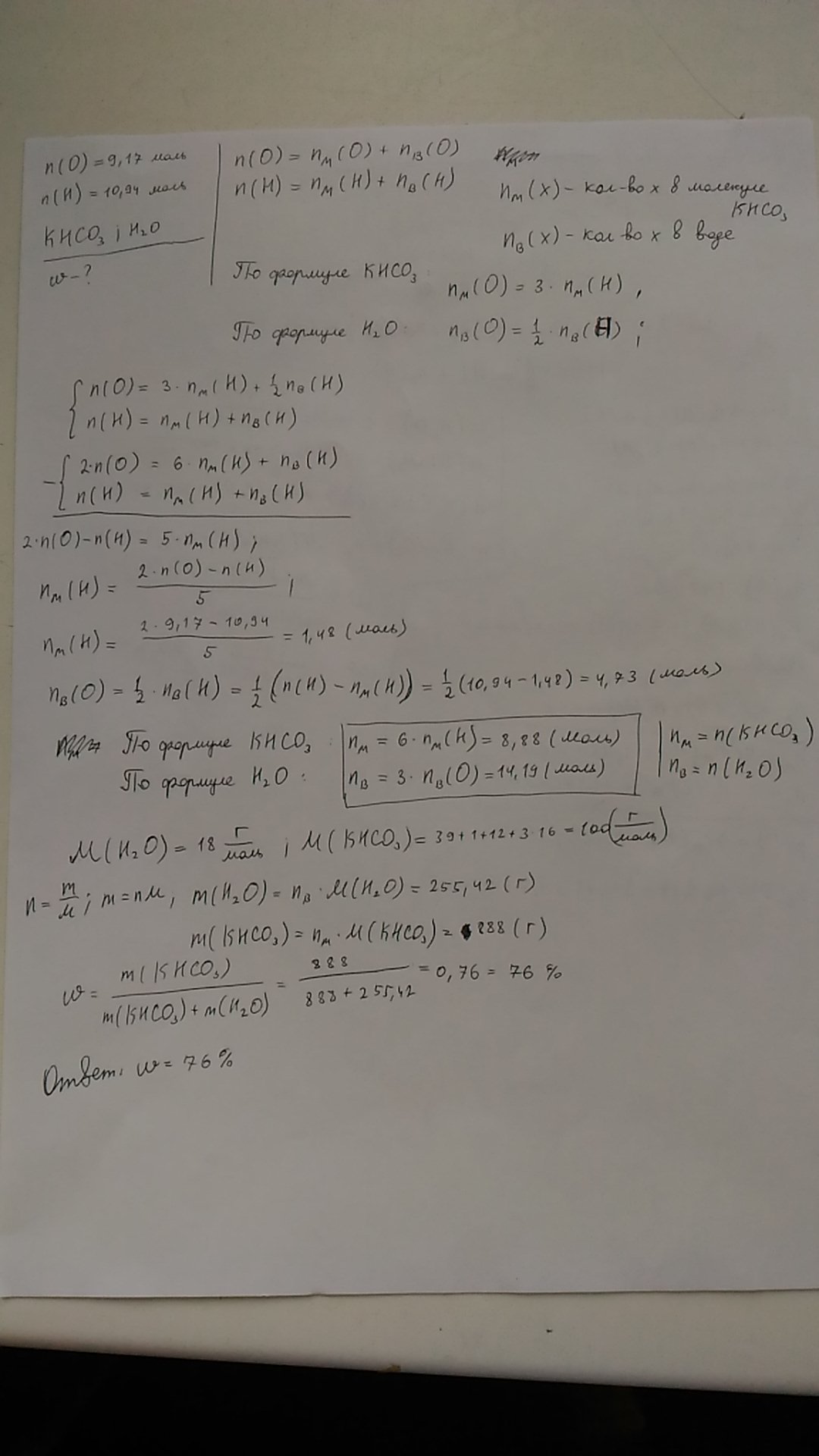
Постарался расписать компактно. Задача не из простых. Если есть вопросы - спрашивайте.
Приложения:

Ответ дал:
0
а в ответе 19
Ответ дал:
0
да
Вас заинтересует
2 года назад
2 года назад
9 лет назад
9 лет назад
10 лет назад