• Предмет: Алгебра
  • Автор: Norichi
  • Вопрос задан 9 лет назад

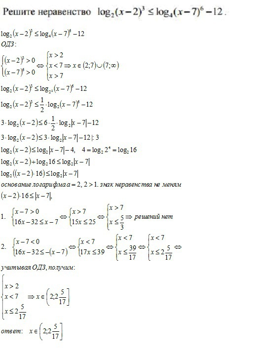
Помогите, пожалуйста, решить логарифмическое неравенство! Фото во вложении.

Приложения:

Ответы

Ответ дал: kirichekov
0
решение во вложении--------------------
Приложения:
Ответ дал: Norichi
0
Вы меня прям всегда спасаете :) Большое спасибо!
Ответ дал: kirichekov
0
рада помочь
Вас заинтересует