Здравствуйте!Помогите пожайлуста) №1. УПРОСТИТЕ ВЫРАЖЕННИЯ: а)-2х(1-х)+(2х-3)(х-1) б)4(1+3х){2}-24х в)(х+4)(х-4)-(х-3){2}№2.РАЗЛОЖИТЕ НА МНОЖИТЕЛИ:а)у-100у^{3}
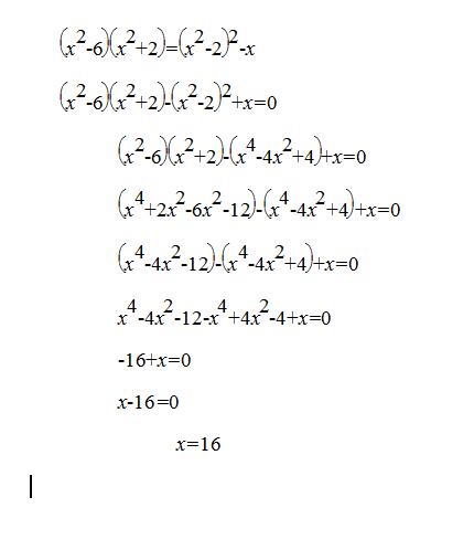
б)7а^{2} -14аб+7 b^{2} в)16- y^{4} №3.Решите уравнение: (x^{2}-6)(x^{2}+2)=(x^{2}-2){2}-x ЗАРАНЕЕ СПАСИБО)
Ответы
Ответ дал:
0
№2
№3
Интересно выходит, что дальше не знаю. Пересмотри может быть уравнение написано не правильно.
Ответ дал:
0
первое и второе задание тебе выше правильно решили,а уравнение во вложении
===========================================================
Приложения:

Вас заинтересует
2 года назад
8 лет назад
10 лет назад
10 лет назад
10 лет назад