Ответы
Ответ дал:
0
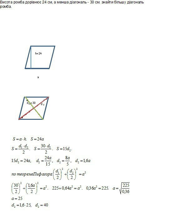
Подробный ответ прикрепила
Приложения:


Вас заинтересует
2 года назад
2 года назад
7 лет назад
9 лет назад
10 лет назад
10 лет назад