• Предмет: Математика
  • Автор: houseofcardss
  • Вопрос задан 10 лет назад

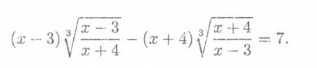
Помогите решить уравнение:
(x-3)*((x-3)/(x+4))^1/3-(x+4)*((x+4)/(x-3))^1/3 =7


Приложения:

Ответы

Ответ дал: bearcab
0
Решение в приложении
Приложения:
Ответ дал: houseofcardss
0
Огромное спасибо!
Вас заинтересует