• Предмет: Математика
  • Автор: alekcevizalov11
  • Вопрос задан 10 лет назад

Решите пожалуйста и подскажите к какой теме по математике оно относится. Извините что много

Приложения:

Ответы

Ответ дал: arsenlevadniy
0
1)  y=-frac{5}{2}x,  frac{4x-y}{3x+2y} = frac{4x-(-frac{5}{2}x)}{3x+2cdot(-frac{5}{2}x)} = frac{8x+5x}{6x-10x} = frac{13x}{-4x} = -3frac{1}{4}

2)  r=7,  r^2=49, \ x_0=r=7,  y_0=0, \ (x-7)^2+y^2=49

frac{(6-x)(x^2-8x+12)}{x^3-36x} geq 0,\ frac{-(x-6)(x-2)(x-6)}{x(x+6)(x-6)} geq 0, \  x neq 0,  x neq -6,  x neq 6, \ (x+6)x(x-2)(x-6)^3 leq 0, \ xin(-6;0)cup[2;6), \ max x=5

(1-x)|x^2+x-12| geq 0, \  left [ {{1-x geq 0,} atop {x^2+x-12=0, }} right. left [ {{-x geq -1,} atop {(x+4)(x-3)=0, }} right.  left[begin{array}{c}x leq 1,\x=-4,\x=3;end{array}right. \ xin(-infty;1]cup{3}, \ -2+(-1)+0+1+3=1

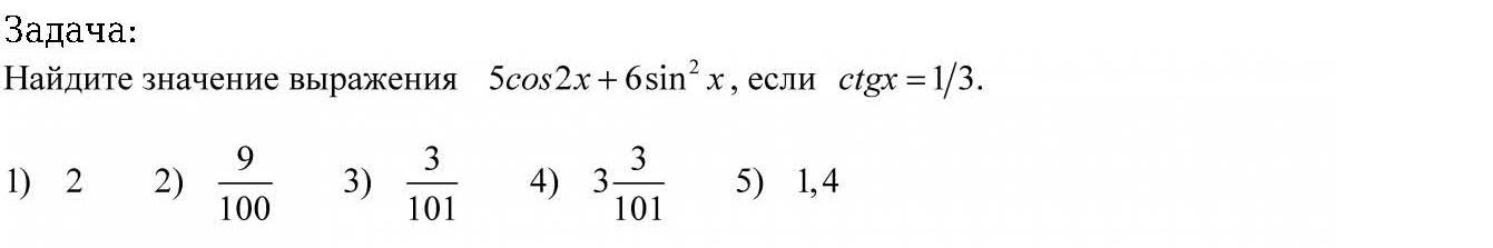
ctg x=frac{1}{3}, \ 5cos2x+6sin^2x=5cos2x+3cdot2sin^2x=5cos2x+3cdot(1-cos2x)=\=2cos2x+3=2cdotfrac{ctg^2x-1}{ctg^2x+1}+3=2cdotfrac{(frac{1}{3})^2-1}{(frac{1}{3})^2+1}+3=-1,6+3=1,4
Ответ дал: alekcevizalov11
0
чёткий ответ . спасибо большое
Вас заинтересует