Ответы
Ответ дал:
0
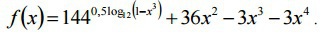
Решениеееееее!!!1111
Приложения:

Ответ дал:
0
чтоб экстремумы найти, к нулю приравнять?
Ответ дал:
0
да, только еще учитывай область определения, исходного выражения, то есть выражение под логарифмом должно быть больше 0
Ответ дал:
0
..область определения исходного...*
Ответ дал:
0
спасибо
Вас заинтересует
2 года назад
2 года назад
7 лет назад
7 лет назад
9 лет назад
9 лет назад
10 лет назад