Ответы
Ответ дал:
0
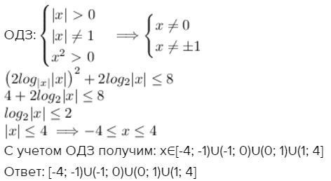
ОДЗ: 

С учетом ОДЗ получим: х∈[-4; -1)∪(-1; 0)∪(0; 1)∪(1; 4]
Ответ: [-4; -1)∪(-1; 0)∪(0; 1)∪(1; 4]
С учетом ОДЗ получим: х∈[-4; -1)∪(-1; 0)∪(0; 1)∪(1; 4]
Ответ: [-4; -1)∪(-1; 0)∪(0; 1)∪(1; 4]
Приложения:
Вас заинтересует
3 года назад
3 года назад
8 лет назад
10 лет назад
10 лет назад