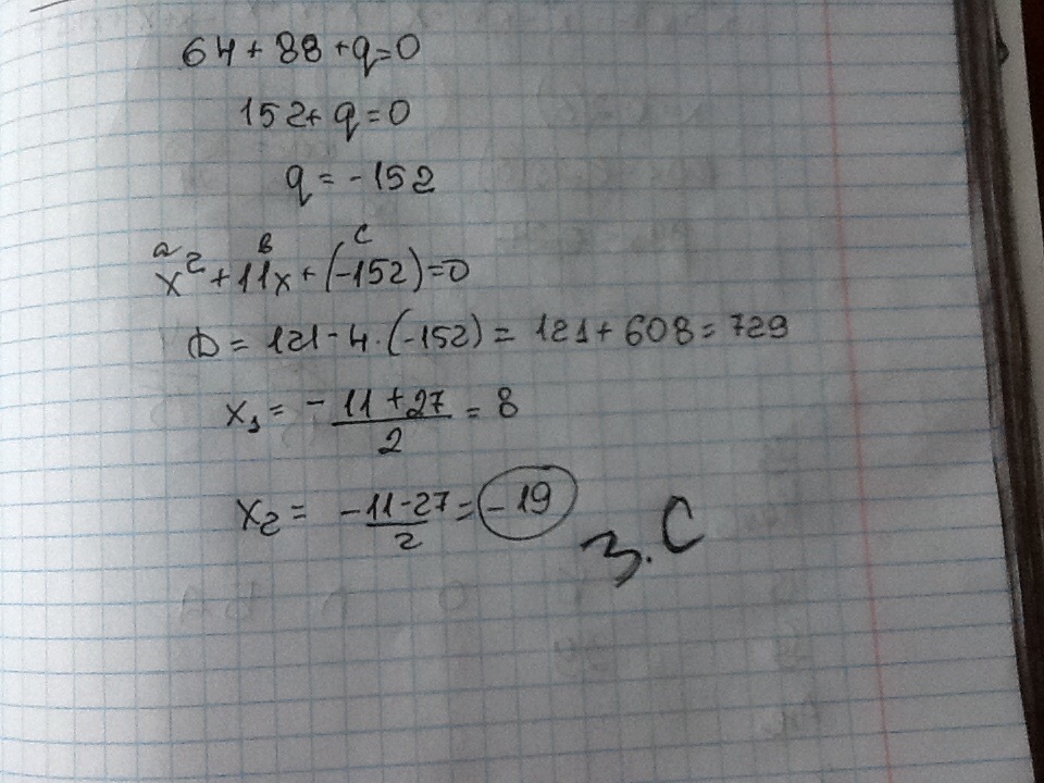
Один из корней квадратного уравнения х2 + 11х + q = 0 равен 8. Найдите второй корень.
-152
-19
-3
19
Ответы
Ответ дал:
0
Раз нам известен один корень, то можно подставить его вместо х, находя при этом свободный член q. Потом как обычно: дискриминант, корни.
Приложения:

Ответ дал:
0
научите kak решать kвадратные уравнения, я совсем всё забыл
Ответ дал:
0
пожалуйста
Ответ дал:
0
х1+х2=-11;(по т.Виета); х2=-11-8=-19; ответ:-19.
Приложения:

Ответ дал:
0
О, я не подумал про теорему Виета.
Ответ дал:
0
Бывает))))
Вас заинтересует
2 года назад
2 года назад
7 лет назад
9 лет назад
10 лет назад
10 лет назад