• Предмет: Математика
  • Автор: evo0last
  • Вопрос задан 10 лет назад

Помогите пожалуйста, опишите способ решения.

Приложения:

Ответы

Ответ дал: NNNLLL54
0
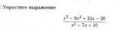
Упростить:

 frac{x^3-9x^2+24x-20}{x^2-7x+10} =  frac{(x-2)(x^2-7x+10)}{x^2-7x+10} = frac{(x-2)(x-2)(x-5)}{(x-2)(x-5)}=x-2; ;\\xne 2; ,xne 5
Ответ дал: evo0last
0
Спасибо, можешь объяснить каким правилом воспользовался что бы разложить числитель?
Ответ дал: NNNLLL54
0
Подбиается один из корней (х=2), затем делят многочлен на (х-2) и получают многочлен 2 степени, корни которого нйти не сложно и по теореме Виета, затем записывают разложение на множители окончательное.
Вас заинтересует