Ответы
Ответ дал:
0
По действиям подробно:
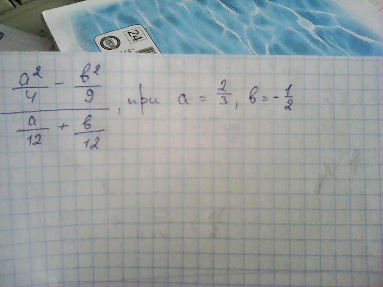
1. а²/4 - в²/9= ( приведем к общему знаменателю) = (9а²-4в²)/36
2. а/12+в/12=(а+в)/12
3. 9а²-4в² 12
________ = ____ (сократить на 12)
36 а+в
9а²-4в² 9·(2/3)² - 4(-1/2)²
______ = (подставим значения) = _______________ =
3(а+в) 3(2/3 - 1/2)
9·4/9 -4·1/4 4 - 1 3
= __________ = ________= _____ = (сократить на 3 и разделить на
3(4/6-3/6) 3(1/6) 3·(1/6)
1/6 или умножить на 6)
= 1:(1/6) = 1·6 = 6
1. а²/4 - в²/9= ( приведем к общему знаменателю) = (9а²-4в²)/36
2. а/12+в/12=(а+в)/12
3. 9а²-4в² 12
________ = ____ (сократить на 12)
36 а+в
9а²-4в² 9·(2/3)² - 4(-1/2)²
______ = (подставим значения) = _______________ =
3(а+в) 3(2/3 - 1/2)
9·4/9 -4·1/4 4 - 1 3
= __________ = ________= _____ = (сократить на 3 и разделить на
3(4/6-3/6) 3(1/6) 3·(1/6)
1/6 или умножить на 6)
= 1:(1/6) = 1·6 = 6
Ответ дал:
0
В 3 действии надо умножить а не "=", затем сократить. Извини.
Ответ дал:
0
Спросишь, почему не разделить?. Потому, что при делении на дробь, заменяем деление на умножение на дробь, обратную делителю.
Ответ дал:
0
Спасибо большое
Ответ дал:
0
я это знаю про умножение
Ответ дал:
0
Все понятно,?
Вас заинтересует
3 года назад
3 года назад
8 лет назад
8 лет назад
10 лет назад
10 лет назад
10 лет назад