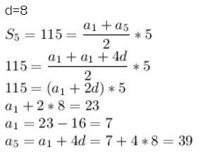
Різниця арефметичної прогресії дорівнюе 8 , сума перших її п'яти членів дорівнює 115. Знайти a1,a5
Ответы
Ответ дал:
0
d=8

Приложения:

Вас заинтересует
2 года назад
2 года назад
9 лет назад
9 лет назад
10 лет назад