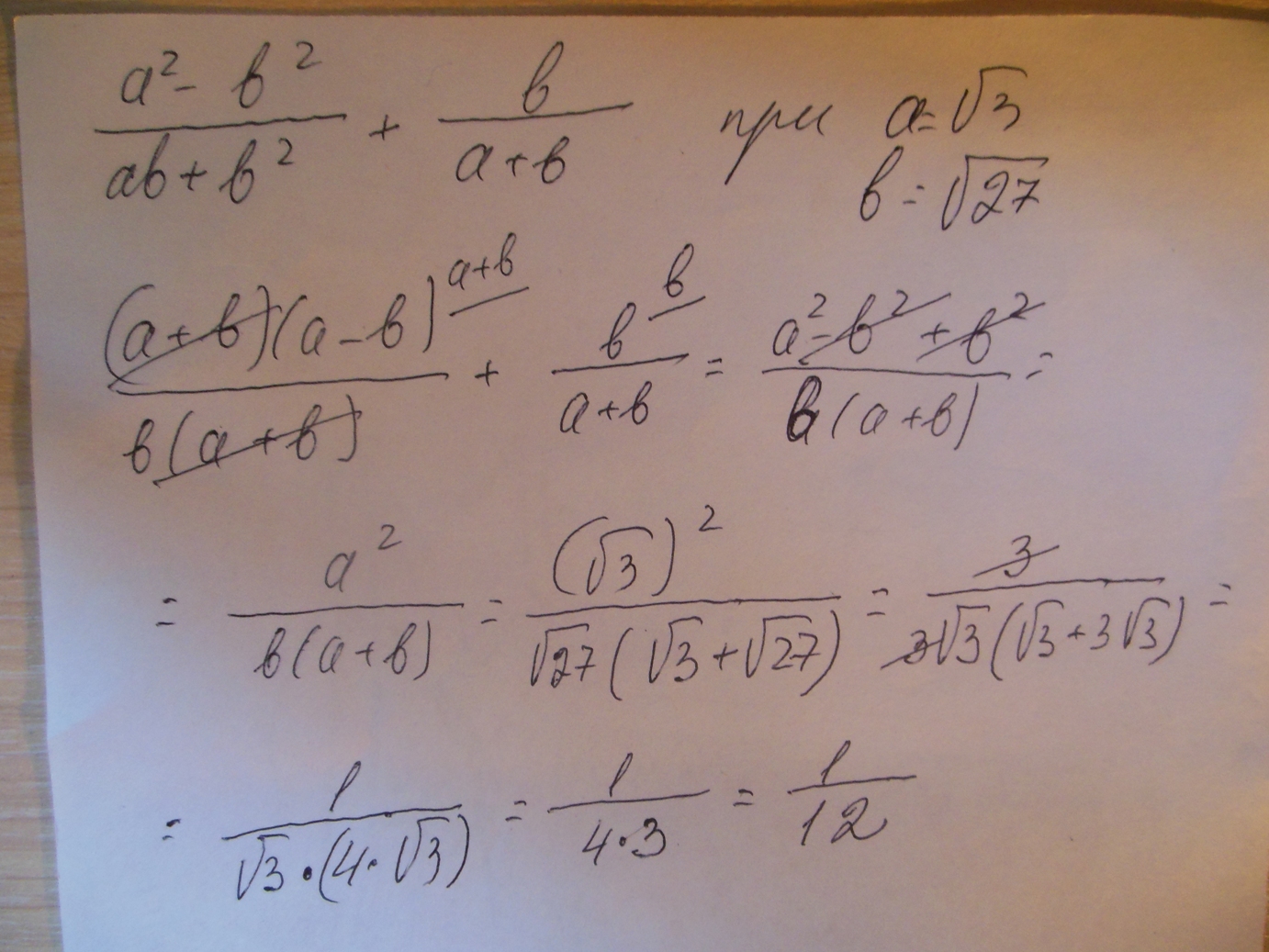
Найдите значение выражения : a^2 - b^2/ ab+b^2 + b/a+b при а=под корнем 3, а б = под корнем 27
с решением и объяснением ♥♥♥
Ответы
Ответ дал:
0
!!!!!!!!!!!!!!!!!!!!!!!!!!!!!!!!!
Приложения:

Ответ дал:
0
Да не за что! Главное, чтобы понятно было!
Ответ дал:
0
помоги пожалуйтса))))решить уравнение 4x+3/4-2x+2/4=1
Ответ дал:
0
что в числителях и знаменателях дробей? Ну хоть скобками выдели!
Ответ дал:
0
(4x+3)/4-(2x+2)/4=1
Ответ дал:
0
ответ добавил в вопрос, где это уравнение
Вас заинтересует
2 года назад
2 года назад
7 лет назад
9 лет назад
10 лет назад