Ответы
Ответ дал:
0
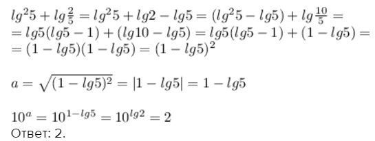
скорее вот так.надо все подробно раскрыть применяя формулы для логарифмов
Приложения:

Ответ дал:
0
неплохо. Спасибо
Ответ дал:
0
Ответ: 2.
Приложения:

Вас заинтересует
2 года назад
7 лет назад
7 лет назад
9 лет назад
10 лет назад