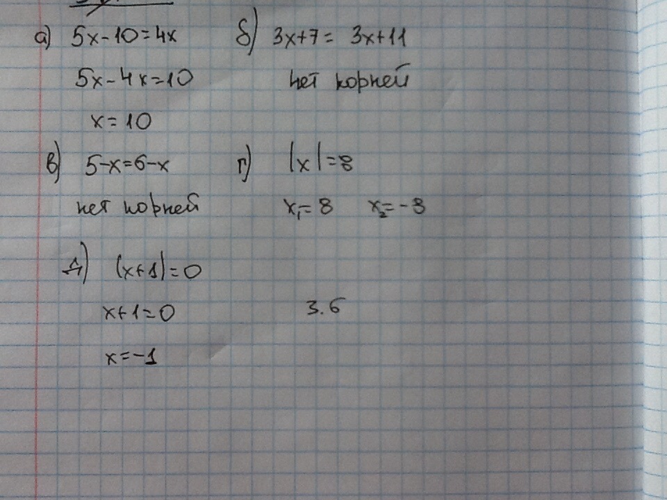
"Решение уравнений сводящихся к линейным"
№ 5
а) 5х-10=4х
б) 3х+7 = 3х + 11
в) 5 - х = 6 - х
г) Модуль х = 8
д) модуль х + 1 = 0
Ответы
Ответ дал:
0
Значит, в Б и В нет корней, так как иксы сокращаются.
Приложения:

Вас заинтересует
2 года назад
2 года назад
7 лет назад
7 лет назад
9 лет назад
9 лет назад
10 лет назад
10 лет назад