Ответы
Ответ дал:
0
Вроде, все правильно, но все равно перепроверь)
Приложения:

Ответ дал:
0
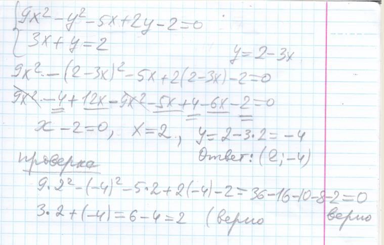
в квадрат У не возвели при подстановке в первое уравнение...
Ответ дал:
0
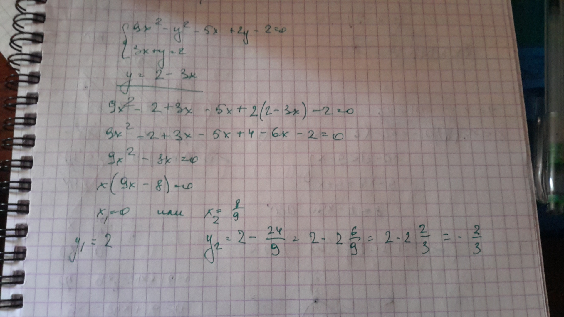
выразим из второго уравнения переменную у и подставим в первое уравнение
раскрываем скобки, приводим подобные слагаемые, находим корень х
находим корень у
записываем ответ
раскрываем скобки, приводим подобные слагаемые, находим корень х
находим корень у
записываем ответ
Приложения:

Ответ дал:
0
вопрос:почему выражаем y через x,а не наоборот?
Ответ дал:
0
можно наоборот, но перед У коэффициент 1 (этот вариант более простой)
Ответ дал:
0
Спасибо за решение и объяснение!
Вас заинтересует
2 года назад
2 года назад
7 лет назад
7 лет назад
9 лет назад
10 лет назад