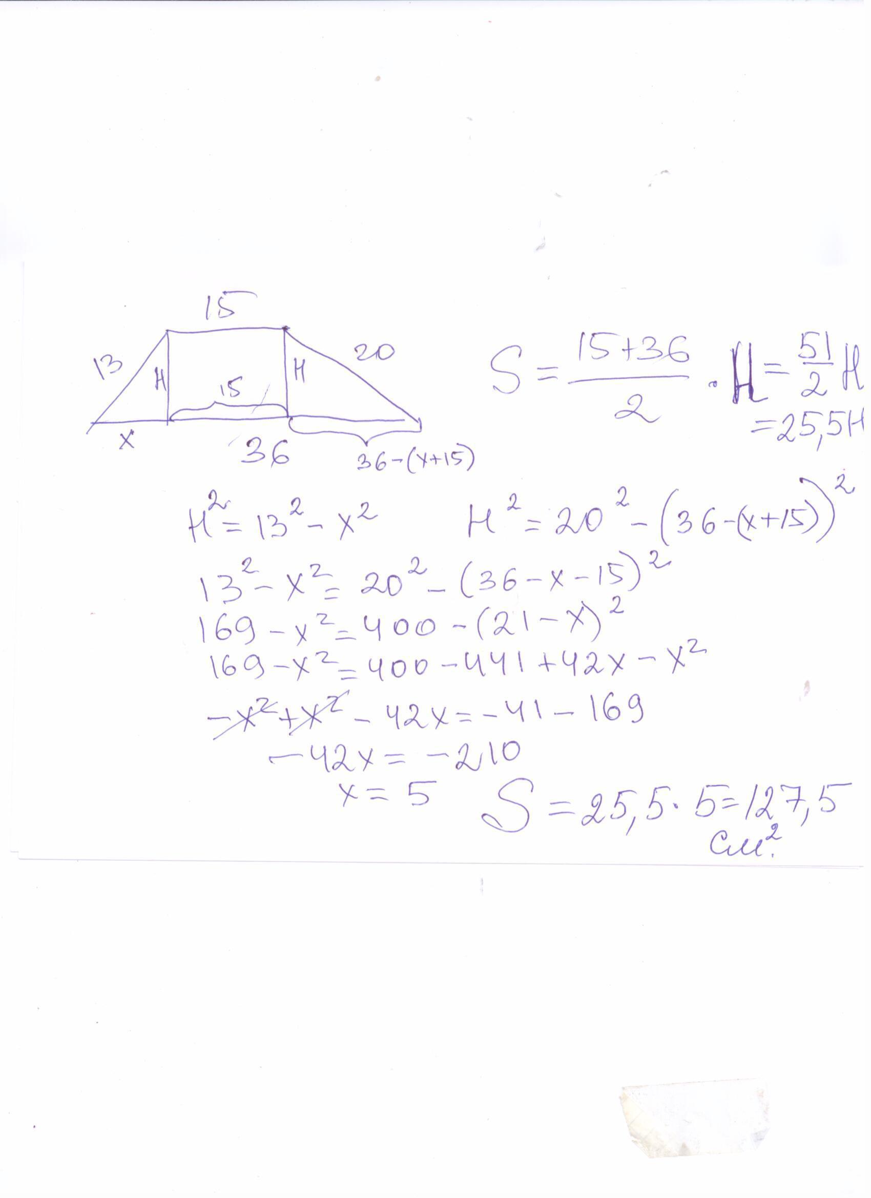
Основи трапеції дорівнюють 15 см і 36 см, а бічні сторони - 13 см і 20 см. Знайдіть площу даної трапеції.
Ответы
Ответ дал:
0
S=127,5 см²
_____________________________________________________________
_____________________________________________________________
Приложения:

Вас заинтересует
2 года назад
2 года назад
7 лет назад
7 лет назад
9 лет назад
9 лет назад