Ответы
Ответ дал:
0
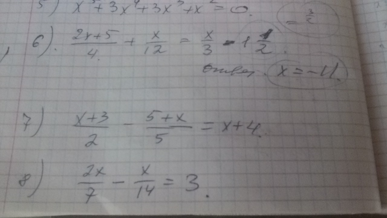
(2x+5)/4+x/12-x/3=1.5 |×12;
3(2x+5)+x-4x=18;
6x+15-3x=18;
3x=3;
x=1;
7) (x+3)/2-(5+x)/5=x+4 |*10;
5x+15-10-2x=10x+40;
-7x=35;
x=-5;
8) 2x/7 -x/14=3 | ×14;
4x-x=42;
x=14.
3(2x+5)+x-4x=18;
6x+15-3x=18;
3x=3;
x=1;
7) (x+3)/2-(5+x)/5=x+4 |*10;
5x+15-10-2x=10x+40;
-7x=35;
x=-5;
8) 2x/7 -x/14=3 | ×14;
4x-x=42;
x=14.
Ответ дал:
0
6)

7)

8)

7)
8)
Вас заинтересует
3 года назад
3 года назад
8 лет назад
8 лет назад
10 лет назад
10 лет назад
10 лет назад