1- докажите, что диагонали параллелограмма точкой пересечения деляться пополам.
2- докажите, что в равнобедренной трапецийугли при основании равны
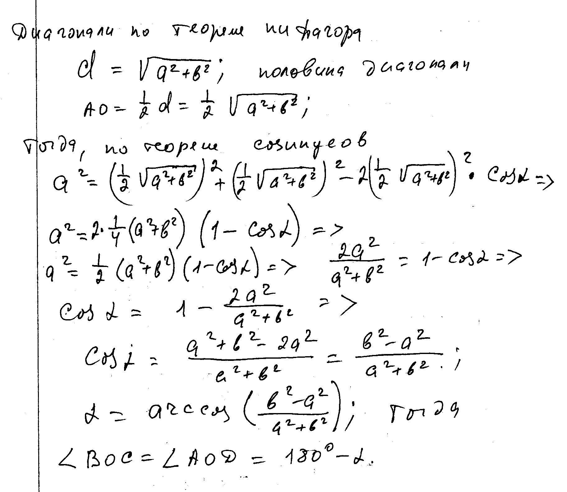
3- диагонали прямоугольника ABCD пересекаються в точке О. найдите угол между диаголналями
Ответы
Ответ дал:
0
решение в скане.................
Приложения:


Вас заинтересует
2 года назад
7 лет назад
9 лет назад
9 лет назад
10 лет назад