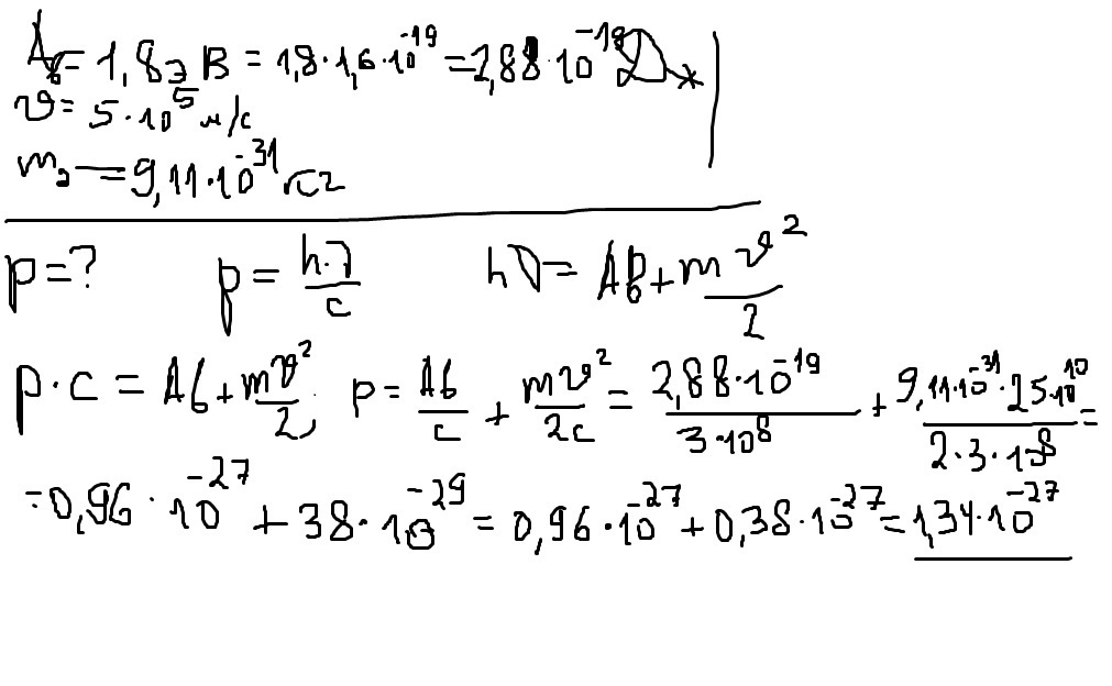
Работа выхода электрона из цезия 1,8 эВ, скорость фотоэлектронов 5*10^5 м/с. Определите импульс фотонов, вызывающих фотоэффект
Ответы
Ответ дал:
0
Ответ получился 1,34*10^-27
Приложения:

Ответ дал:
0
p=h*ν (частота)с
Вас заинтересует
2 года назад
2 года назад
7 лет назад
9 лет назад
10 лет назад