• Предмет: Алгебра
  • Автор: Илья5853
  • Вопрос задан 9 лет назад

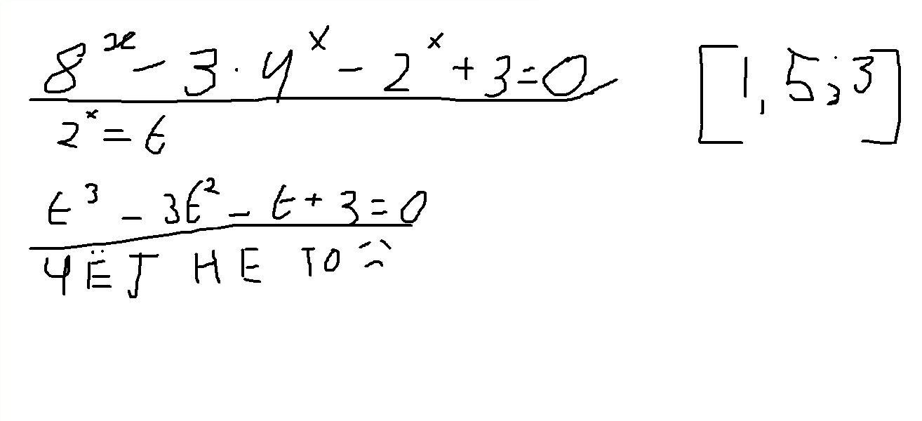
Помогите решить ...
Заранее большое спасибо

Приложения:

Ответы

Ответ дал: ludaкоз
0
t**2(t-3)-(t-3)=0
(t-3)(t**2-1)=0
(t-3)(t-1)(t+1)=0
t=3;1;-1
Ответ дал: Илья5853
0
чёт не пойму. **-это что и откуда t-3
Ответ дал: Илья5853
0
чёт не пойму. **-это что и откуда t-3...Можно поподробнее, если можно конечно
Вас заинтересует