• Предмет: Математика
  • Автор: hunter453300
  • Вопрос задан 10 лет назад

Добрый день, люди добрые помогите молодцу лихому, решить надобно номер 7. Благодарствую заранее

Приложения:

Ответы

Ответ дал: математик2011
0
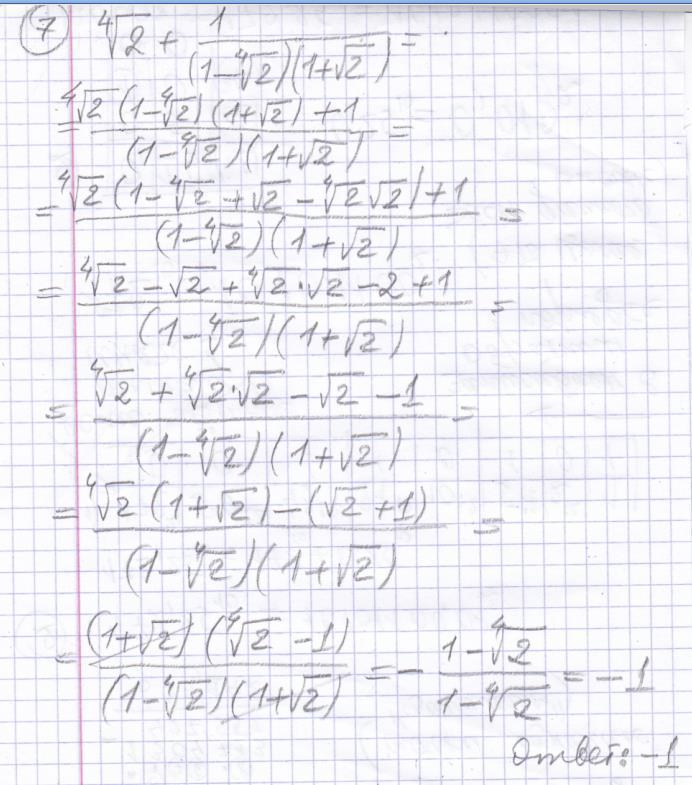
смотри решение в приложении
Приложения:
Ответ дал: hunter453300
0
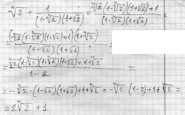
ответ не подходит
Ответ дал: infor5
0
просмотрите внимательно за ходом выполнения действий, в основном рассматривается раскрытие скобок и приведение подобных слагаемых (учитываем, что  sqrt[4]{2} * sqrt[4]{2} = sqrt{2} )
Приложения:
Вас заинтересует