Ответы
Ответ дал:
0
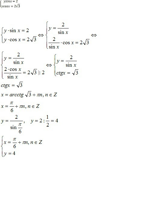
решение во вложении-------------------------
Приложения:

Ответ дал:
0
y*sinx=2 (y*sinx)²=4 y²sin²x=4
y*cosx=2√3 (y*cosx)²=(2√3)² y²*cos²x=12
Складываем эти уравнения:
y²*sin²x+y²*cos²x=16
y²*(sin²x+cos²x)=16
y²=16
y₁=4 y₂=-4 ⇒
4*sinx=2
sinx=1/2
x₁=π/6+2πn x₂=2π/3+2πn
(-4)*sinx=2
sinx=-1/2
x₃=-π/6+2πn x₄=-2π/3+2πn.
y*cosx=2√3 (y*cosx)²=(2√3)² y²*cos²x=12
Складываем эти уравнения:
y²*sin²x+y²*cos²x=16
y²*(sin²x+cos²x)=16
y²=16
y₁=4 y₂=-4 ⇒
4*sinx=2
sinx=1/2
x₁=π/6+2πn x₂=2π/3+2πn
(-4)*sinx=2
sinx=-1/2
x₃=-π/6+2πn x₄=-2π/3+2πn.
Приложения:

Вас заинтересует
2 года назад
2 года назад
7 лет назад
7 лет назад
9 лет назад
9 лет назад
10 лет назад
10 лет назад