Ответы
Ответ дал:
0
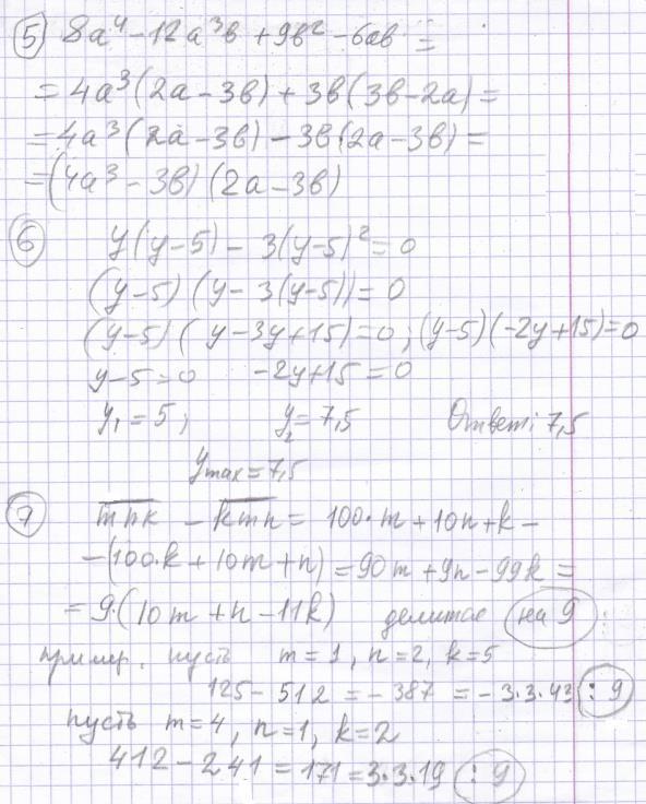
смотри ответ на фотографии
Приложения:

Ответ дал:
0
В задании №7 правильным ответом должно быть число 9
Приложения:

Вас заинтересует
2 года назад
2 года назад
7 лет назад
7 лет назад
9 лет назад
9 лет назад
10 лет назад