Ответы
Ответ дал:
0
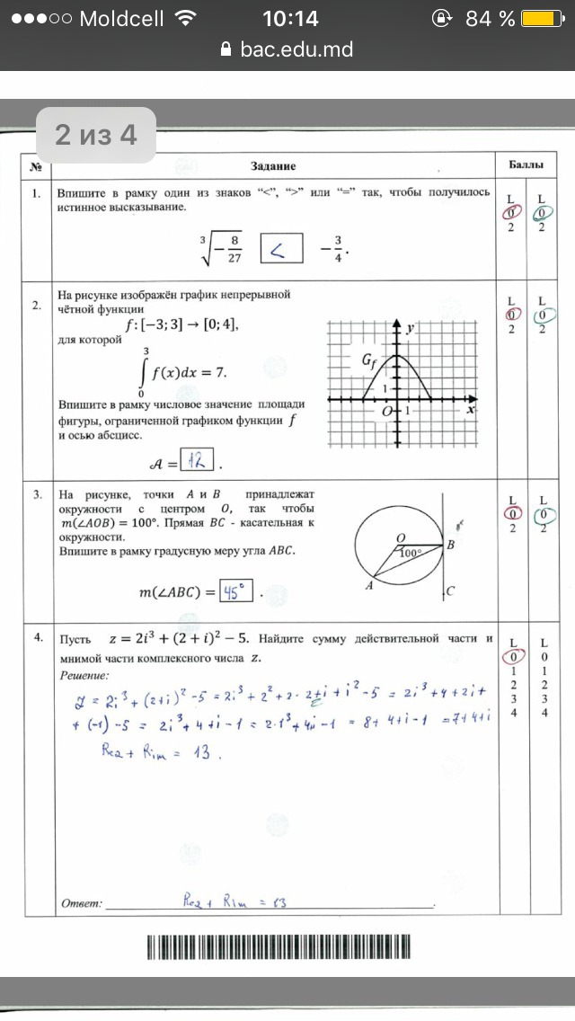
Задание 1.
∛(-8/27)=-2/3,
Сравним числа 2/3 и 3/4:
2/3=8/12,
3/4=9/12.
Поэтому 2/3<3/4.
Отсюда следует, что -2/3>-3/4, так как обе части неравенства умножили на (-1), в результате чего знак сменился на противоположный.
Задание 2.
Функция на графике - четная. Это значит, что f(x)=f(-x), а
.
Тебе надо найти
, если тебе известно значение
. Поэтому
- это и есть значение площади фигуры, ограниченной графиком f(x) и осью абсцисс.
Задание 3.
AOB - равнобедренный, так как две из его сторон являются радиусами окружности, а следовательно, равны. Угол при вершине этого равнобедренного треугольника равен ∠AOB=100°. Следовательно, углы при основании равны ∠OAB=∠OBA=(180°-100°)/2=40°.
∠OBC=90°. Так как ∠OBC=∠OBA+∠ABC, то ∠ABC=∠OBC-∠OBA=90°-40°=50°.
Задание 4.
Используем то, что, по определению, i^2=-1.
z=2 * i^3 + (2 + i)^2 - 5 =
2 * i^2 * i + (2^2 + 2 * 2 * i + i^2) - 5 =
-2 * i + 4 + 4 * i - 1 - 5 =
-2 + 2 * i
Re z = -2,
Im z = 2.
Re z + Im z = -2 + 2 = 0.
∛(-8/27)=-2/3,
Сравним числа 2/3 и 3/4:
2/3=8/12,
3/4=9/12.
Поэтому 2/3<3/4.
Отсюда следует, что -2/3>-3/4, так как обе части неравенства умножили на (-1), в результате чего знак сменился на противоположный.
Задание 2.
Функция на графике - четная. Это значит, что f(x)=f(-x), а
Тебе надо найти
Задание 3.
AOB - равнобедренный, так как две из его сторон являются радиусами окружности, а следовательно, равны. Угол при вершине этого равнобедренного треугольника равен ∠AOB=100°. Следовательно, углы при основании равны ∠OAB=∠OBA=(180°-100°)/2=40°.
∠OBC=90°. Так как ∠OBC=∠OBA+∠ABC, то ∠ABC=∠OBC-∠OBA=90°-40°=50°.
Задание 4.
Используем то, что, по определению, i^2=-1.
z=2 * i^3 + (2 + i)^2 - 5 =
2 * i^2 * i + (2^2 + 2 * 2 * i + i^2) - 5 =
-2 * i + 4 + 4 * i - 1 - 5 =
-2 + 2 * i
Re z = -2,
Im z = 2.
Re z + Im z = -2 + 2 = 0.
Вас заинтересует
8 лет назад
10 лет назад
10 лет назад
10 лет назад
10 лет назад