Упростить (sin альфа cos бета+cos альфа sin бета) квадрат (cos альфа cos бета- sin альфа sin бета) квадрате
Ответы
Ответ дал:
0
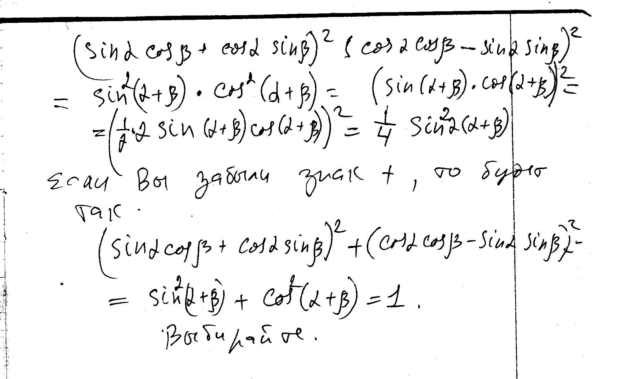
решение в скане...........
Приложения:

Ответ дал:
0
Спасибо
Вас заинтересует
2 года назад
7 лет назад
7 лет назад
9 лет назад
9 лет назад
10 лет назад