Ответы
Ответ дал:
0
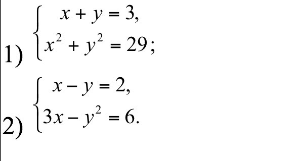
Все решение на фотографиях. Во втором используется метод сложения.
Приложения:


Ответ дал:
0
Спасибо большое!
Вас заинтересует
2 года назад
2 года назад
7 лет назад
9 лет назад
10 лет назад
10 лет назад