• Предмет: Алгебра
  • Автор: COBETNIK
  • Вопрос задан 10 лет назад

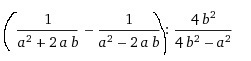
Помогите с примером по алгебре 7 класс

Приложения:

Ответа на этот вопрос пока нет. Попробуйте найти его через форму поиска.

Вас заинтересует