• Предмет: Геометрия
  • Автор: Katruna24
  • Вопрос задан 10 лет назад

Помогите пожалуйста решить

Приложения:

Ответы

Ответ дал: korkeshechko
0
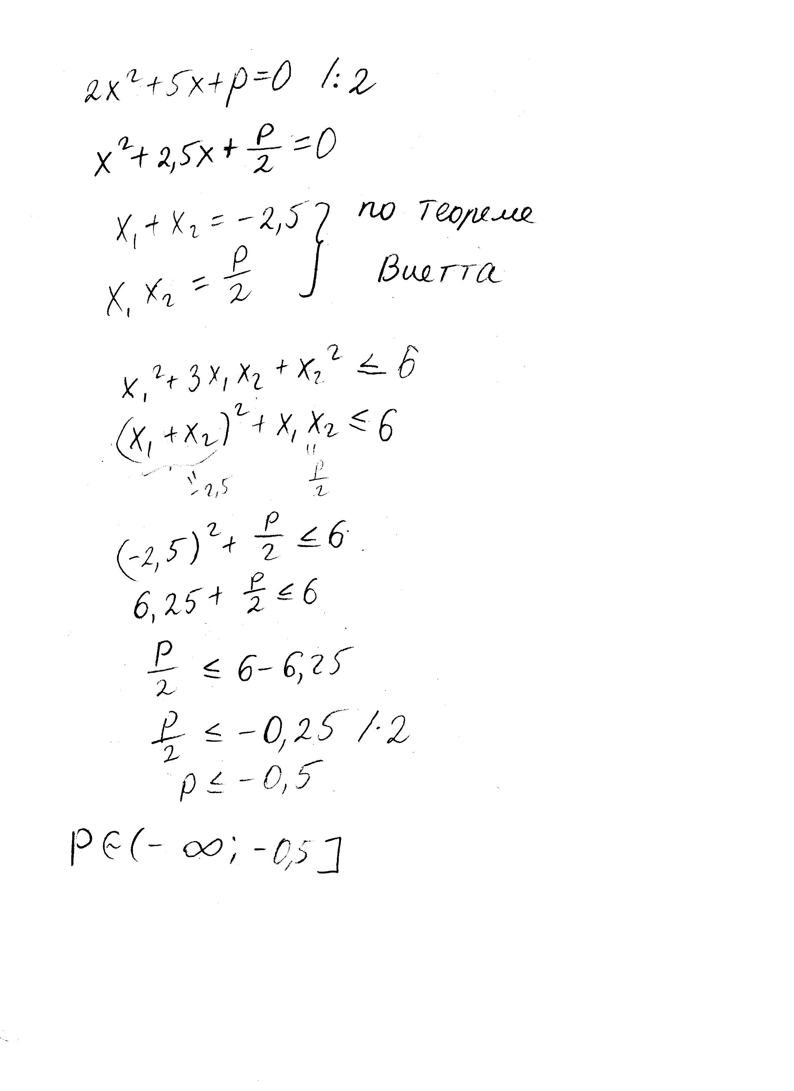
решение на фотографии)) с двух сторон отдельные решения неравенств
Приложения:
Ответ дал: bearcab
0
Решение второго задания в приложении.
Приложения:
Вас заинтересует