• Предмет: Алгебра
  • Автор: senya2117
  • Вопрос задан 10 лет назад

Помогите пожалуйста 2.007
Только с решением буду благодарен

Приложения:

Ответы

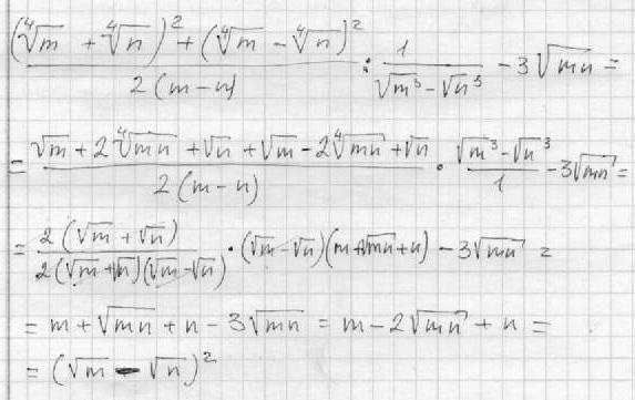
Ответ дал: математик2011
0
Ну, вот как-то так получается!

Приложения:
Вас заинтересует