• Предмет: Математика
  • Автор: makkaalban
  • Вопрос задан 10 лет назад

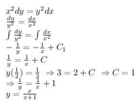
знайти розв'язок рівняння
x^{2} dy- y^{2} dx=0

y(1/2)=1/3

Ответы

Ответ дал: artalex74
0
x^{2} dy= y^{2} dx\ frac{dy}{y^2}=frac{dx}{x^2}\ int frac{dy}{y^2}=int frac{dx}{x^2}\ -frac{1}{y}=-frac{1}{x}+C_1\   frac{1}{y}=frac{1}{x}+C\  
y( frac{1}{2})= frac{1}{3}  Rightarrow 3=2+C  Rightarrow C=1\ Rightarrow
 frac{1}{y}=frac{1}{x}+1\ y= frac{x}{x+1}
Приложения:
Вас заинтересует