Ответы
Ответ дал:
0
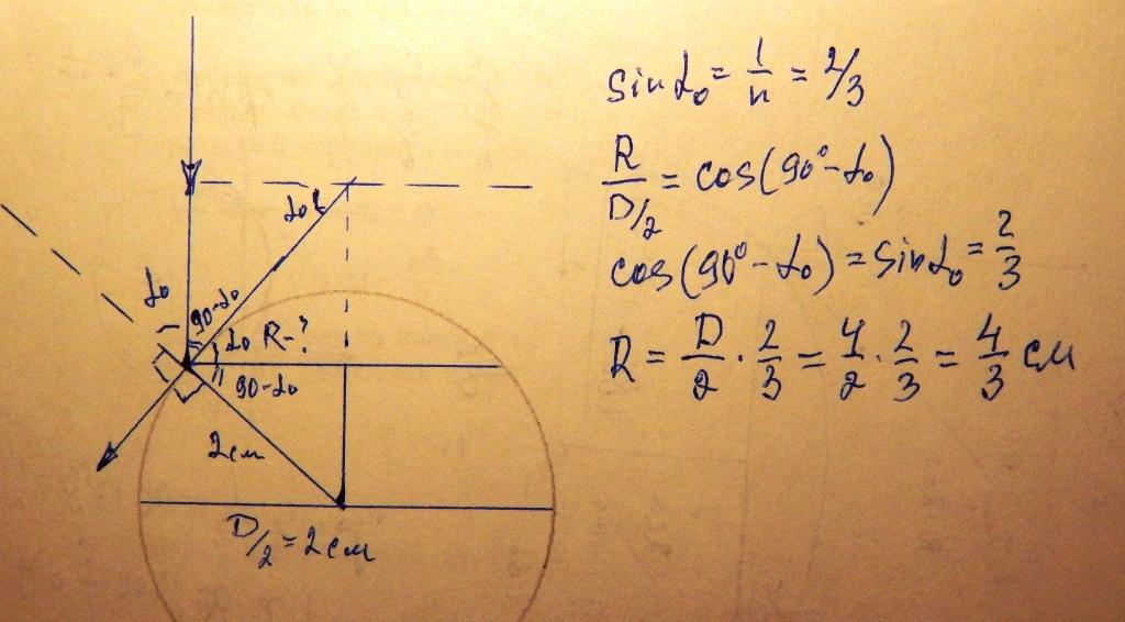
Чертеж - главное!
Решение на фотографии.
Верный ответ С), мне так кажется.
Если что не понятно спрашивайте.
Луч падает на пузырек с углом падения равным предельному углу и дальше идет по касательной к пузырьку. С этого надо начинать. Если угол падения меньше предельного то он проникнет в пузырек. Этот случай изображен на чертеже. Далее сплошная геометрия с тригонометрией.
Решение на фотографии.
Верный ответ С), мне так кажется.
Если что не понятно спрашивайте.
Луч падает на пузырек с углом падения равным предельному углу и дальше идет по касательной к пузырьку. С этого надо начинать. Если угол падения меньше предельного то он проникнет в пузырек. Этот случай изображен на чертеже. Далее сплошная геометрия с тригонометрией.
Приложения:

Вас заинтересует
2 года назад
2 года назад
7 лет назад
7 лет назад
9 лет назад
9 лет назад
10 лет назад