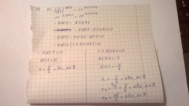
Доброго времени суток. Есть ли ошибки с моей стороны в данной уравнении? Т.к с ответом не сходится: pi/2+pin; -pi/6+2pin; -5pi/6+2pin; заранее благодарю за ответ.
Приложения:

Ответы
Ответ дал:
0
1) -2cosx=0,
x=π/2+2πn.
2) sinx=-0.5;
x1=5/6 π+2πn,
x2=7/6 π+2πn тебя все правильно, но есть ошибка, см. 2)
x=π/2+2πn.
2) sinx=-0.5;
x1=5/6 π+2πn,
x2=7/6 π+2πn тебя все правильно, но есть ошибка, см. 2)
Ответ дал:
0
Но sin же принадлежит отрезку от 0 до pi/2, т.к является нечетной функцией
Ответ дал:
0
х2=-76Пн+2Пн
Вас заинтересует
2 года назад
7 лет назад
7 лет назад