Ответы
Ответ дал:
0
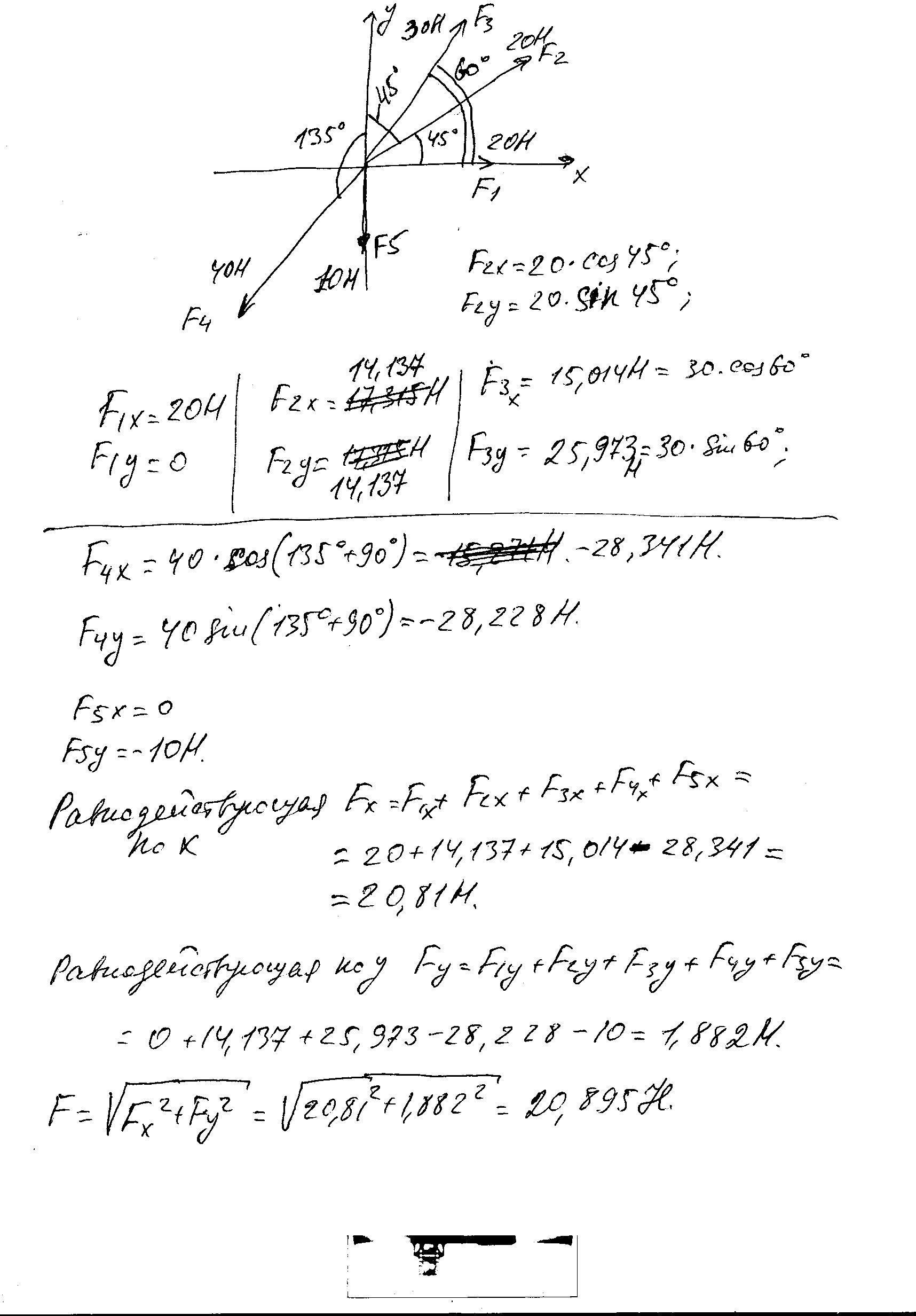
Решение во вкладке. Там и оси координатные, и решение.
Приложения:

Ответ дал:
0
Посмотрите рисунок .....
Приложения:

Ответ дал:
0
А я решил на листочке и отсканил потом... Я просто гляжк - внизу формула, подумал редактор может какой...
Вас заинтересует
2 года назад
7 лет назад
7 лет назад
9 лет назад
10 лет назад
10 лет назад