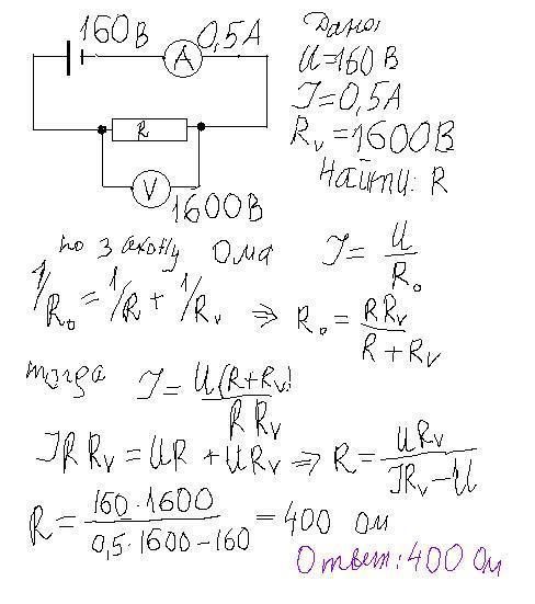
К источнику тока подключен амперметр и резистор параллельно резистору вольтметр. Показания амперметра 0,5 А, вольтметра 160 В. Определите сопротивление резистора, если сопротивление вольтметра 1600 Ом.
Ответы
Ответ дал:
0
посмотрите решение в файле
Приложения:

Вас заинтересует
2 года назад
2 года назад
7 лет назад
9 лет назад