Ответы
Ответ дал:
0
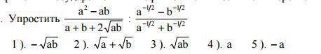
смотри ответ на фотографии
Приложения:

Ответ дал:
0
Спасибо огромное, а куда дели 2Корень(ab) ?
Ответ дал:
0
это был полный квадрат суммы
Вас заинтересует
2 года назад
2 года назад
7 лет назад
7 лет назад
9 лет назад
9 лет назад