Ответы
Ответ дал:
0
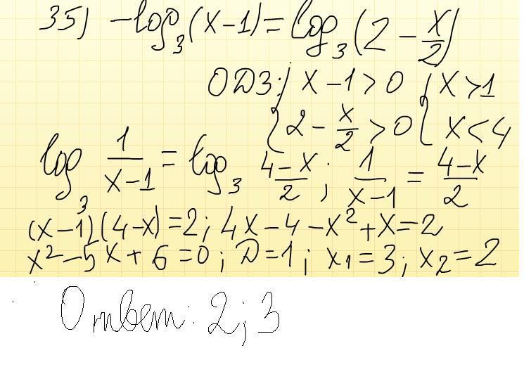
ОДз
{x-1>0⇒x>1
{2-0,5x>0⇒0,5x<2⇒x<4
x∈(1;4)
log(3)(2-0,5x)+log(3)(x-1)=0
log(3)[(2-0,5x)*(x-1)]=0
(2-0,5x)(x-1)=1
2x-2-0,5x²+0,5x-1=0
-0,5x²+2,5x-3=0
x²-5x+6=0
x1+x2=5 U x1*x2=6
x1=2
x2=3
Ответ х=2;х=3
{x-1>0⇒x>1
{2-0,5x>0⇒0,5x<2⇒x<4
x∈(1;4)
log(3)(2-0,5x)+log(3)(x-1)=0
log(3)[(2-0,5x)*(x-1)]=0
(2-0,5x)(x-1)=1
2x-2-0,5x²+0,5x-1=0
-0,5x²+2,5x-3=0
x²-5x+6=0
x1+x2=5 U x1*x2=6
x1=2
x2=3
Ответ х=2;х=3
Ответ дал:
0
решение уравнения в файле
Приложения:

Вас заинтересует
2 года назад
2 года назад
7 лет назад
7 лет назад
9 лет назад
9 лет назад
10 лет назад