Ответы
Ответ дал:
0
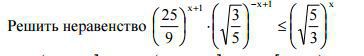
смотри ответ на фотографии
Приложения:

Ответ дал:
0
Огромное, спасибо, отпишись мне в лс, есть предложение)
Вас заинтересует
2 года назад
2 года назад
9 лет назад
10 лет назад