• Предмет: Математика
  • Автор: king112263
  • Вопрос задан 10 лет назад

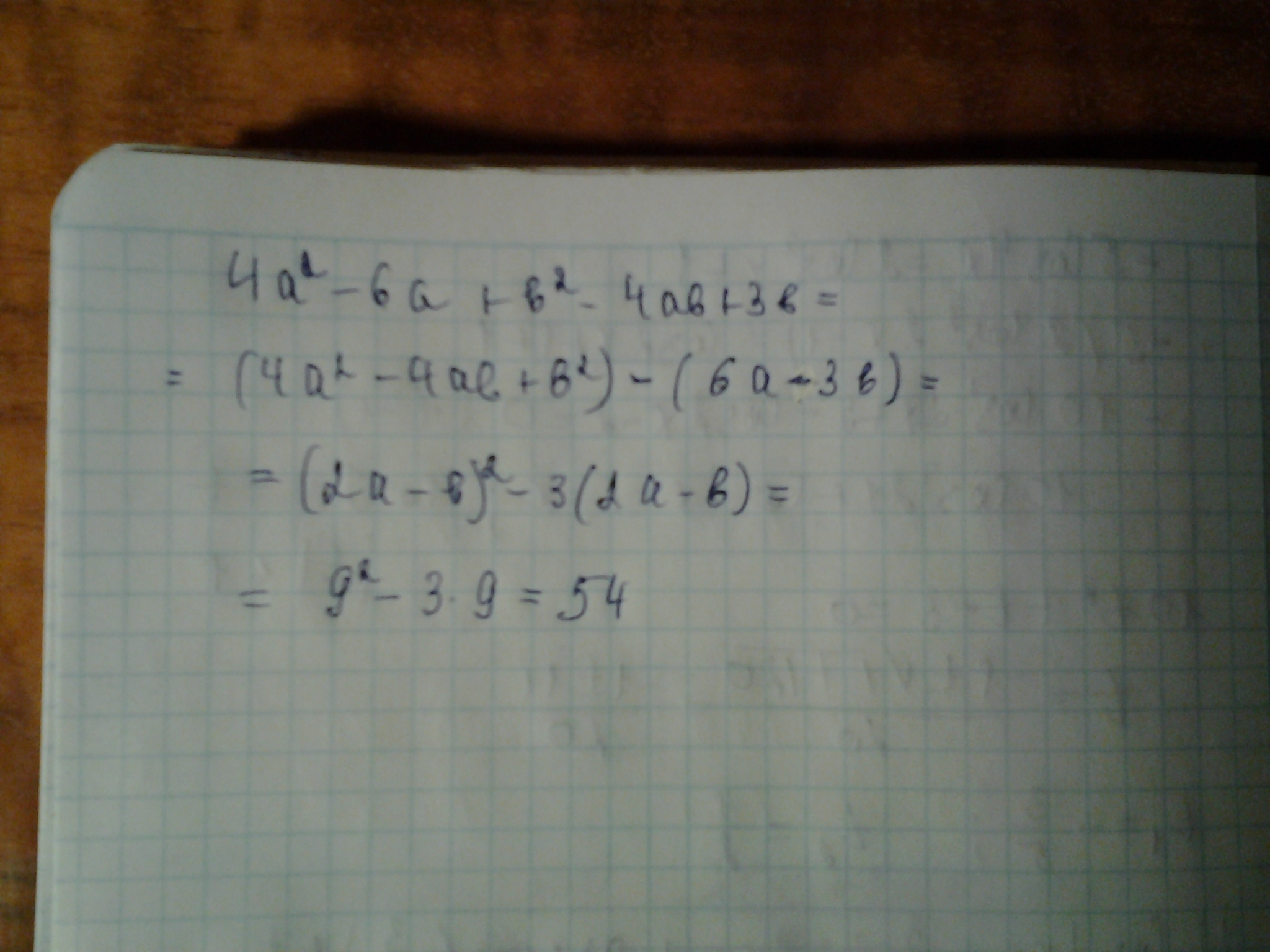
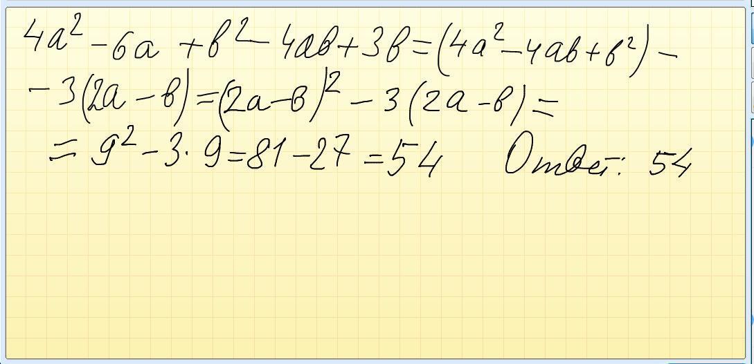
Знайти значення виразу 4а²-6а+b²-4ab+3b, якщо 2а-b=9

Ответы

Ответ дал: okneret
0
Применена формула квадрата разности
Приложения:
Ответ дал: infor5
0
посмотрите решение в файле....
Приложения:
Вас заинтересует