Ответы
Ответ дал:
0
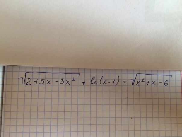
Найдем максимальное значение из ОДЗ
x-1>0 откуда x>1
x² + x - 6 ≥ 0
(x+3)(x-2) ≥ 0
Решение неравенства: x≤-3; x≥2
2+5x-3x²≥0 |*(-1)
3x² - 5x-2≤0
D=b²-4ac = 25+24 = 49
x1 = -1/3
x2 = 2
Решение неравенства: -1/3 ≤ x ≤ 2
Общее решение ОДЗ: x=2
Подставим значение 2, получаем верное решение
Ответ: 2.
x-1>0 откуда x>1
x² + x - 6 ≥ 0
(x+3)(x-2) ≥ 0
Решение неравенства: x≤-3; x≥2
2+5x-3x²≥0 |*(-1)
3x² - 5x-2≤0
D=b²-4ac = 25+24 = 49
x1 = -1/3
x2 = 2
Решение неравенства: -1/3 ≤ x ≤ 2
Общее решение ОДЗ: x=2
Подставим значение 2, получаем верное решение
Ответ: 2.
Вас заинтересует
3 года назад
3 года назад
8 лет назад
10 лет назад
10 лет назад
10 лет назад